pingtools pro安卓版
你是否经常感到网速缓慢,但是想查看网络信息却不知道怎么查看呢?这时候你就需要一个网络测试工具了,pingtools pro安卓版 就是这样的一款软件,它是功能丰富的手机网络测试软件,可以为用户提供众多专业而且实用的网络测试工具,可以查看你连接的网络的详细信息,网络连接的状态,路由器的IP地址,还有外部的IP地址以及ISP的信息等信息可以查看,从而找到当前连接网络存在的问题。此外,软件可以寻找其他的网络设备,查看是谁连接了你的网络,占用了资源,还能检查全球资源的可用性,去分析你网络宽带的实用程序以及查询域名系统名称服务器,非常的实用、方便,感兴趣的用户快来下载使用吧。http://www.ddooo.com/softdown/211229.htm

软件特色
1、可以去查看网络的连接状态,路由器的IP地址以及外部IP地址等信息;2、搜索其他的网络设备,了解是谁连接了你的网络,检查网络的资源,还可多语言的设置;3、分析网络宽带的使用程序,显示域名或者是IP信息,一个IP计算机,可以帮助你计算网络的参数,确定IP地址范围。
软件亮点
局域网:寻找其他网络设备。您将始终了解谁连接到您的网络,并确定硬件制造商以及这些设备上正在运行的服务。Ping:不需要说明的工具。您可以使用一组标准的参数以及其他功能,例如TCP和HTTP \ HTTPS ping。后台工作和声音通知将使您能够监视远程主机的状态而不会分心。GeoPing:检查全世界资源的可用性。只需单击一下,您就可以了解您的网站是否可以在新加坡(ex)正常访问。Traceroute:系统管理员必不可少的工具。显示数据包从设备到目标主机的路由。 Visual Traceroute使用地图向您显示数据包如何绕地球到达指定的目的地。iPerf:用于分析网络带宽的实用程序。它基于iperf3,并支持服务器和客户端模式。端口扫描器:功能强大的多线程TCP端口扫描器。使用此工具,您可以获得远程设备上打开的端口的列表。大多数端口都显示了描述,因此您将知道哪个应用程序在使用它。

怎样使用pingtools pro安卓版?
1、在本站下载软件,打开,可以看到四个板块,

2、网络状态,可以查看网络的连接类型、网关等等

3、无线WiFi的信号,可以看到信号强度、连接速度等等

4、本地的连接情况,可以查看本地的连接情况

5、网络的使用率,可以看到本地的网络使用情况

软件优势
Wi-Fi扫描仪:您周围的接入点列表。此外,您可以找到AP的制造商,信号电平和许多其他信息。您可以使用图表直观地欣赏所有内容。同时支持2.4 GHz和5 GHz设备。子网扫描器:此工具可以扫描您的Wi-Fi子网以查找周围的其他主机。扫描程序可以通过Ping检查主机,或检查多个TCP端口。因此,您可以简单地在您的子网中找到服务(用于ex scan 22端口以查找SSH在哪里运行)。您还可以配置IP地址范围以进行自定义扫描。DNS查找:用于查询域名系统(DNS)名称服务器的工具。对于网络故障排除或仅查找域,邮件服务器等的IP地址很有用。还支持反向DNS。LAN唤醒:是一种工具,允许您通过发送特殊数据包(称为魔术包)来远程打开网络计算机。在您无法物理访问计算机(突然关闭)的情况下,WoL是无法替代的。IP计算器:此实用程序在设置网络设备时很有用。 IP计算器将帮助您计算网络参数,确定IP地址范围,子网掩码。
软件点评
Whois:一种实用程序,显示有关域或IP地址的信息。在Whois的帮助下,您可以找到有关组织的域信息,联系信息等的注册日期。UPnP扫描仪:显示本地网络上的UPnP设备。使用UPnP扫描仪,您可以找到路由器,Xbox或PlayStation之类的游戏机,媒体服务器和其他设备的IP地址。还支持DLNA兼容的电视和媒体盒(三星AllShare,LG SmartShare)。Bonjour浏览器:是一种网络实用程序,用于浏览网络上的Bonjour(ZeroConf,Avahi)服务。 Bonjour内置于Apple的操作系统中,因此您可以使用此实用程序来搜索iPhone \ iPod等的网络地址。
更新日志
pingtools pro安卓版 v4.52更新日志1、能够创建任何工具的快捷方式2、观察者改进了http响应验证3、改进了局域网扫描仪4、bug修复
谈“MF47D型万用表”的特殊功能及应用——音频电平的测试(三)
一 引言
前两篇文章分别介绍了,由“南京天宇电子仪表厂”生产出品的“MF47D型指针式万用表 ”(见图1所示)的特殊功能(一)“标准电阻箱”和(二)“电容容量的测试”。本文接着谈谈该指针式万用表的另外一个特殊功能、音频电平的测试。

图1
二 认识音频电平的测试及分贝
“电平”就是指电路中两点或几点在相同阻抗下电量的相对比值。这里的电量自然指“电功率”、“电压”、“电流”并将倍数化为对数,用“分贝”表示,记作“db”。
音频电平的测量,其实就是要在一定的负载阻抗上,用来测量放大级的增益和线路输送的损耗值,测量单位也是以分贝来表示的。分贝对应于电压与功率的关系式如下:
上式公式中,是在600Ω负载阻抗上“0”分贝的标称功率值=1mW,
是在600Ω负载阻抗上消耗功率为1mW时的相应电压值即:
例1.当输出功率为1W时,用分贝表测得的电平数值有如下关系式:
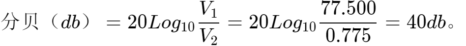
例2.如果用交流250V档,测得的输出音频电压为77.5V时,其所得的电平数值有如下关系式:
上述两例当中负载阻抗均是在600Ω数值上测定的,否则测量数据将不能够准确。因为“0”分贝=1mW600Ω,这个是一般公认的输送线路标准,按此设计的缘故。
同理,一般刻度的分贝数值也是以交流10V档为标准的,即(-10db~ 22db)。如果读数大于+22db时,就要用50V,250V,500V等的档位了。并需要分别加上一定的分贝数值,比如:1.用50V档测量时,所测得的刻度读数须加上14db;2.用250V档测量时,所测得的刻度读数须加上28db;3.用500V档测量时,所测得的刻度读数须加上36db。例如换用了50V档,测得的音频电平为12db,那么,实际测量值应该是12+14=26db。以此类推。
使用万用表,一般均为使用指针式万用表对音频电平进行测试,其方法与交流电压测试相同,也是使用这个档位的,只是使用的刻度线不一样,它是需要单独绘制的!大部分测量音频电平的仪表的刻度,均是根据上述0db=1mw即在600Ω负荷阻抗上消耗的功率1mw为0db。这里db也是读作“分贝”,它也是音频电平的测量单位。根据上述数据一般描绘的标准刻度指示值为-10~+22db见图2所示的“MF47D型指针式万用表‘ 刻度线’,它一般也是对应于10V电压的交流档(见图3)所示。
当被测电平量大于+22db时,可在50V档或250V档上测量,但测量值必须加上对应的修正数值,如+14db和+28db见图3。

图2

图3
三 测量分贝的对应测量各档位与范围
MF47D型指针式万用表 测量分贝的对应各档位与测量范围如下:1 .交流10V档 -10db~ 22db2 .交流50V档 4db~ 36db3 .交流250V档 18db~ 50db
四 正常使用中的注意事项
如果被测量的音频电平里含有直流成分,那么就需要在测量时在表笔的+插孔与表笔间连接一只容量为0.1μF、耐压大于400V的隔直流电容器。这样可以免除可能较大的直流成分,给予万用表表头的伤害!
关于这个测试功能,其实不应该算作特殊测试功能!在很多的指针式万用表中,这里可以说包括过去的和现在的,不少指针式万用表中,均含有这个测试功能!这些可能与很多操作者不太喜欢使用和利用这个测试功能有关系吧!
最后,这里要感谢今日头条的《广播情怀》小组、给与颁发的奖品“南京MF47D型指针式万用表”。
相关问答
lte路测软件有哪些-ZOL问答
以下是一些常用的LTE路测软件:1.CaltechJave:CaltechJave是一款用于测量和...2.OpenSignal:OpenSignal是一款免费的移动网络测试应用程序,...
信号电平值怎么查?
信号电平值指的是信号强度的大小,通常用电压表示。查看信号电平值的方法与测量设备和信号类型有关。如果是音频信号,可以使用音频电压表或示波器测量电压值。...
逻辑电平指的是什么?
逻辑电平是指电子电路中表示逻辑状态的电压水平。在数字电路中,常用两个逻辑电平来表示不同的逻辑状态,一般为高电平和低电平。高电平一般表示逻辑状态为1或...
什么是好的录音电平?
1、经过调音台录入电脑或多轨机:在这种情况下,要注意的是两个问题。第一,是调音台电平的问题。调音台作为信号输入的初始设备,要使其做到在电平不过载的前...
自动电平控制是什么呢?
自动电平控制AutomaticLevelControl自动电平控制,是针对由于器件本身变化,环境引起工作点变化等,在电路中加入的稳定电平的电路.在一定范围内,ALC电路自...
电平转换器怎么用?
电平转换器可以将一种电平(例如低电平、高电平)转换为另一种电平,以适应不同的通信协议和应用场景。一般情况下,电平转换器的使用方法如下:1.确定要转换的...
...G、4G手机信号小区信息和电平-小红薯B098D83的回答-懂得
中国移动都是以省份为单位,每个地区的中国移动具有一定的地域性,因此您可以直接致电您所在地区的10086人工客服来询问你出现了该字母或者是该问题的...
高电平和低电平输入有什么区别?如何区分低电平和高电平?-ZOL问答
高电平和低电平输入有什么区别?如何区分低电平和高电平?CPUIntelIntel酷睿i510400F讨论回答(5)高电平和低电平的定义针对不同芯片,不同信号类型来说都不...
仪表技术方面有什么工具app软件,类似电气计算器app软件
[最佳回答]单片机定义单片机是指一个集成在一块芯片上的完整计算机系统。尽管他的大部分功能集成在一块小芯片上,但是它具有一个完整计算机所需要的大部分部...
什么是高电平接口?
高电平接口是指遵循一定电压级别的电子设备或系统之间使用的接口。通常情况下,高电平接口的电压标准相对较高,常见的有TTL、CMOS、LVDS等,具有较高的抗干扰能...